5
通知公告
/col/col1542/index.html
首页
>
通知公告
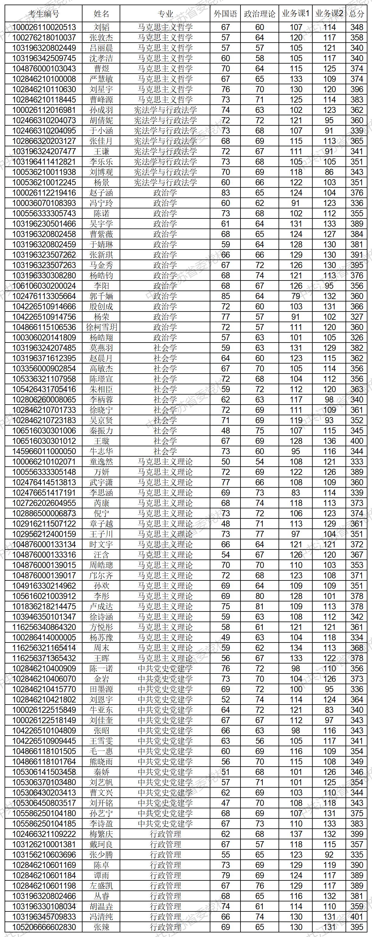
中共江苏省委党校2026年研究生招生调剂考生复试名单
发布日期:2026-04-09
浏览次数:
信息来源:研究生处
打印
关闭
Produced By 大汉网络 大汉版通发布系统